Traume betyder påvirkning, der kan medføre skade. I daglig tale er traumepatienter dermed personer som har fået en så stor fysisk påvirkning, at det kan have medført livs og/eller førlighedstruende skader.
Traumerelateret død bliver fordelt i 3 toppe:
Den præhospitale indsats rettes primært mod top nr. 2 i samarbejde med akutlæger.
Dog skal ambulancepersonalet være bevidst om tidsforbruget på skadestedet, da der ses en sammenhæng mellem tid brugt på skadestedet og patientens mortalitet.
”Den vigtigste væske i præhospital behandling er diesel”
Derfor bliver der i flæng brugt ovenstående udtryk, men det skal selvfølgelig ikke forstås bogstaveligt. Det skal forstås på den måde, at den livreddende behandling foretages på hospitalerne, så det er absolut kun de meningsfulde interventioner der skal laves præhospitalt.
Alle danske akutmodtagelser kan modtage traumepatienter og de modtages oftest af et traumeteam, som er et tværfagligt hold bestående af portører, sygeplejersker med forskellige funktioner, læger med relevant speciale og traumelederen samt radiografer mf.
For at et traumecenter kan kaldes et traumecenter stilles der krav til, at der skal kunne stilles alle relevante specialer til rådighed. De specialer og funktioner der skal være til stede på et traumecenter er bl.a.:

I Danmark findes der 4 højtspecialiserede traumecentre; København, Odense, Århus og Aalborg.
Hvert år behandles gennemsnitligt mere end 1500 svært tilskadekomne og akut kritisk syge patienter på Rigshospitalets Traumecenter, hvoraf mere end 260 af patienterne er hårdt kvæstet.
Derudover modtager traumecenteret i gennemsnit 12.000 patienter årligt i den højt specialiserede akutmodtagelse på Rigshospitalet.
Af disse 4 traumecentre er kun Rigshospitalet klassificeret som Level 1 traumecenter. Det betyder, at et traumesystem skal indeholde en lang række elementer der tilsammen sikrer den bedst mulige behandling.
Kendskab til og forståelse for kinematik og skadesmekanismer er essentielt for at vurdere hvilke traumatologiske skader patienten har påtaget sig.
Skadesmekanismer ved færdselsuheld:
Ved færdselskollisioner er der flere ting som ambulancepersonalet observerer:
Dvs. at man kigger på selve skadestedet – hvad er der sket med bilen og omgivelserne, hvordan ser køretøjet ud? Er der en ødelagt husmur og nedlagt gadelampe eller er bilen fuldstændig intakt?
Er selestrammerne brugt og airbaggen udløst? For hvis ikke, hvor kan patientens overkrop og hoved så have kollideret inde i bilen?
Selvom bilen er kollideret og bragt til standsning, airbaggen er udløst og selerne er anvendt, så vil kroppens indre organer fortsætte i samme hastighed som bilen har kørt – dog inde i kroppen.
Hvis patienten bliver kastet ud af køretøjet, øges dødeligheden 25 gange.
Præhospitalt vurderer man mellem høj- eller lavenergitraumer, men der kan ikke sættes præcise tal på forskellene, da hele kinematikken og skadesmekanismen skal tages i betragtning. Dog er der tale om højenergitraumer ved fx:
Derudover skelnes der også mellem forskellige typer traumer:
Præhospitalt anvendes der forskellige typer undersøgelser af den traumatiske patient. Af bogstavkurser som de præhospitalt ansatte kan have er bl.a. Prehospital Trauma Life Support (PHTLS) og International Trauma Life Support (ITLS).
I dette kapitel vil vi tage udgangspunkt i ITLS-metoden, som differentierer sig en smule fra PHTLS, men udfaldet burde være ens.
I ITLS inddeler man sin traumegennemgang op i 3 dele og hele traumegennemgangen er rimelig struktureret og skal gøres mere eller mindre kronologisk for at finde, udelukke og behandle livstruende tilstande og skader på patienten.
Vores gennemgang må kun afbrydes af følgende:
Primær gennemgang
Er skadestedet sikkert? Hvordan er skadestedets opbygning? Hvor mange patienter er der? Er der tilkaldt det rigtige antal ressourcer og de rigtige?
Hvad er der sket? Hvordan ser fx køretøjet ud? Hvordan ser patienten ud? Hvor er patienten ift. ulykken? Hvordan ser omgivelserne ud?
I denne fase laver man en kort ABC-gennemgang af patienten for at vurdere hvor kritisk patienten er. Når dette er vurderet efter ca. 30 sekunder, kaldes patienten kritisk eller ikke kritisk, således ens makker og omkringværende præhospitalt personale er med på, hvor hurtigt denne tur skal afvikles.
AVPU: hvis patienten er a(VPU), skal makkeren skabe frie luftveje på patienten.
C: Er der nogen større blødninger? Hvis ja skal denne standses vha. en tourniqet eller kompression.
A: Har patienten frie luftveje? Taler vedkommende eller høres der stridor eller gurglen?
B: Har patienten en hurtig eller langsom vejrtrækning? Er vejrtrækningen god, dyb eller overfladisk? Ved dårlig vejrtrækning skal der ventileres uanset patientens vejrtrækningsfrekvens.
Ved sufficient men hurtig vejrtrækning skal patienten have ilt på en hudsonmaske med 15 L ilt pr minut. Ved sufficient tidalvolume men langsom vejrtrækning skal der støtteventileres.
C: Hvordan er patientens puls og kvaliteten af den? Er den hurtig eller langsom? Svag eller fyldig? Og er den store blødning standset? Her revurderes den livreddende behandling man foretog sig nemlig.
For at læse mere om AVPU og ABCDE gennemgang af patienten kan du læse disse 2 moduler.
Nu har ambulancen vurderet om patienten er kritisk eller ikke kritisk, der er måske lavet en livreddende behandling eller ej og det er blevet tid til at undersøge patienten for livsfarlige skader på kroppen.
Nedenstående tekst er inddelt efter den prioriterede rækkefølge man foretager sin undersøgelse ud fra. Kort sagt starter man oppe fra og arbejde sig ned. Du vil læse om hvilke ting man kigger efter samt hvilke interventioner ambulancepersonalet kan foretage.
Du vil måske opdage, at der ikke er mange interventioner som der kan foretages. Det er også helt korrekt. Husk, at noget af den vigtigste behandling man kan lave præhospitalt ved traumer er kørsel til hospital.
Observationer og fund
Interventioner
%
For at kunne vurdere patientens brystkasse skal denne, hvis muligt, blotlægges.
Observationer og fund
Interventioner
Hvis der er nedsat lungelyd på den ene lunge og man perkuterer en høj tone frem, så er der tegn på trykpneumothorax.
Og det giver anledning til at trykaflaste lungen ved at stoppe en nåle-dekompressions-nål ind i lungen, således luften i lungehulen kan slippe ud.


For at kunne vurdere patientens mave skal denne, hvis muligt, blotlægges.
Observationer og fund
Maven undersøger man først ved en visuel inspektion, derefter palperer man i 4 kvadranter og slutteligt kan man stetoskopere.
Interventioner
Observationer og fund
Interventioner

Ved over og underekstremiteterne, har vi naturligvis allerede anlagt en tourniquet, hvis der er tegn på større blødning. Så under dette punkt er vi nået videre i vores undersøgelse.
Observationer og fund
Interventioner
%
Observationer og fund
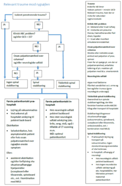
Slutteligt i vores ITLS traumegennemgang af patienten, skal vi kontrollere dens nakke og ryg jf. nationalkliniske retningslinjer.
Interventioner
Hvis patienten har neurologiske udfald eller knogleømhed, så skal patienten spinalstabiliseres enten vha. vakuummadras eller på båren støttet godt op om, med tæpper.
Læg mærke til her, at man næsten aldrig bruger spineboard og halskrave som man gjorde i gamle dage.


Når vi har lavet vores primærundersøgelse, som bestod af (1) sikkerhed og opbygning, (2) skadesmekanisme, (3) initialfasen herunder AVPU og C-ABC og (4) vores hurtige traumegennemgang, så er det måske blevet tid til at komme ind i ambulancen med patienten og køre mod hospitalet.
Det er først når vi er kommet ind i ambulancen at vi laver vores revurdering af de interventioner vi har lavet samt vores sekundære undersøgelse af patienten.